27+ pages is x 6y 2 a function 800kb. For a above 1. Substitute the values of a a d d and e e into the vertex form a x d 2 e a x d 2 e. Substitute the values of a a and b b into the formula d b 2 a d b 2 a. Check also: function and learn more manual guide in is x 6y 2 a function Solve your math problems using our free math solver with step-by-step solutions.
X 6 y 2 x 6 y 2. D 0 2 - 6 d 0 2 6.

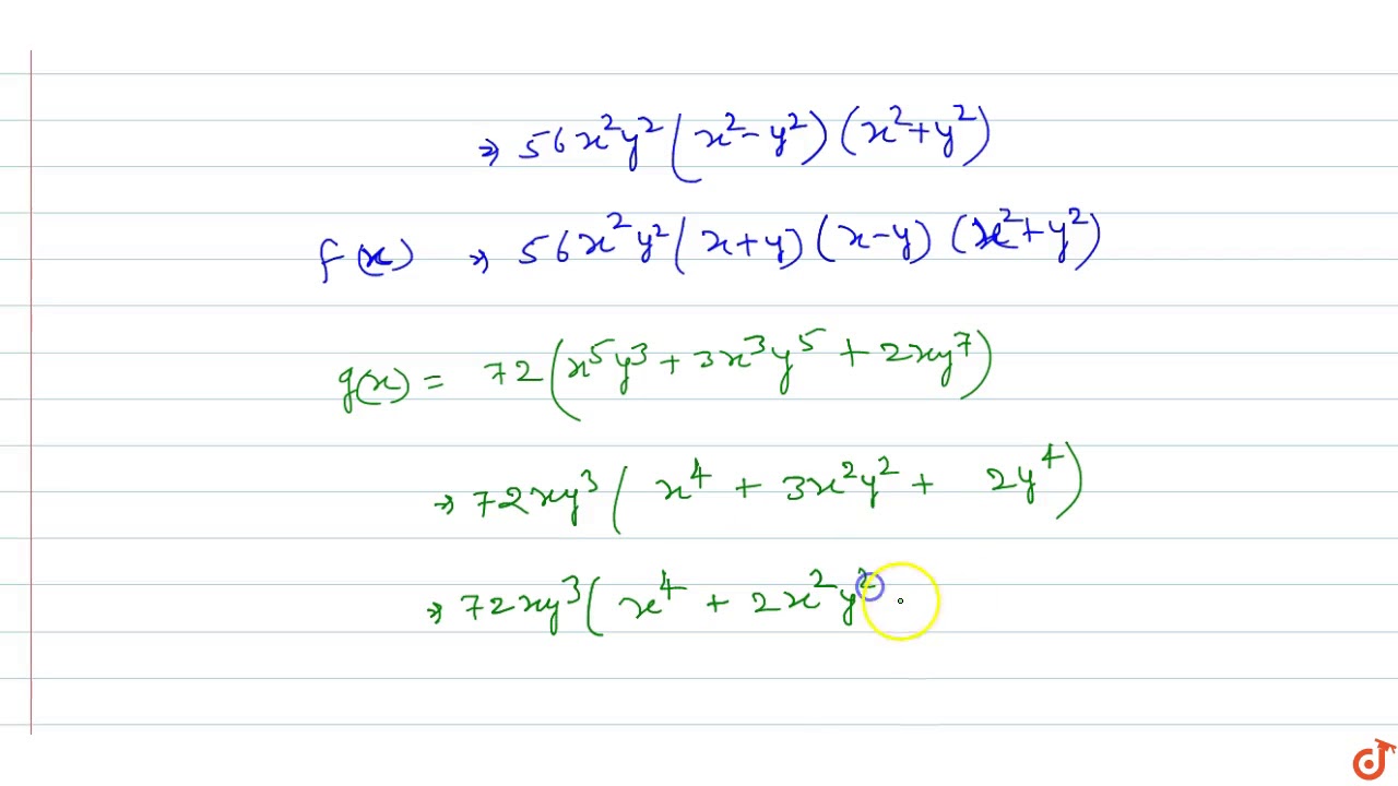
The Hcf Of 56 X 6y 2 X 2y 6 And 72 X 5y 3 3x 3y 5 2x Y 7 Is
| Title: The Hcf Of 56 X 6y 2 X 2y 6 And 72 X 5y 3 3x 3y 5 2x Y 7 Is |
| Format: PDF |
| Number of Pages: 219 pages Is X 6y 2 A Function |
| Publication Date: August 2020 |
| File Size: 3.4mb |
| Read The Hcf Of 56 X 6y 2 X 2y 6 And 72 X 5y 3 3x 3y 5 2x Y 7 Is |
D x d y 2 1 D.

Swap sides so that all variable terms are on the left hand side. No it isnt. I have been struggling with this for a while. Correct option is. 3 on a question Determine whether the relation is a function. To it inside the relationship -- then it will be a function.

Standard Form To Graphing Form Ten Fantastic Vacation Ideas For Standard Form To Gra Graphing Linear Equations Standard Form Equation Writing Linear Equations
| Title: Standard Form To Graphing Form Ten Fantastic Vacation Ideas For Standard Form To Gra Graphing Linear Equations Standard Form Equation Writing Linear Equations |
| Format: ePub Book |
| Number of Pages: 150 pages Is X 6y 2 A Function |
| Publication Date: September 2020 |
| File Size: 6mb |
| Read Standard Form To Graphing Form Ten Fantastic Vacation Ideas For Standard Form To Gra Graphing Linear Equations Standard Form Equation Writing Linear Equations |

Solving Systems Of Equations Activity Zombies Elimination Or Substitution Systems Of Equations Graphing Activities Algebra Activities
| Title: Solving Systems Of Equations Activity Zombies Elimination Or Substitution Systems Of Equations Graphing Activities Algebra Activities |
| Format: PDF |
| Number of Pages: 257 pages Is X 6y 2 A Function |
| Publication Date: December 2018 |
| File Size: 2.1mb |
| Read Solving Systems Of Equations Activity Zombies Elimination Or Substitution Systems Of Equations Graphing Activities Algebra Activities |

Converting Standard Form To Slope Intercept Form Worksheet Maze Activity Slope Intercept Form Slope Intercept Standard Form Worksheet
| Title: Converting Standard Form To Slope Intercept Form Worksheet Maze Activity Slope Intercept Form Slope Intercept Standard Form Worksheet |
| Format: ePub Book |
| Number of Pages: 314 pages Is X 6y 2 A Function |
| Publication Date: April 2020 |
| File Size: 5mb |
| Read Converting Standard Form To Slope Intercept Form Worksheet Maze Activity Slope Intercept Form Slope Intercept Standard Form Worksheet |

Singhb Projects Teaching Algebra Functions Algebra Algebra
| Title: Singhb Projects Teaching Algebra Functions Algebra Algebra |
| Format: eBook |
| Number of Pages: 152 pages Is X 6y 2 A Function |
| Publication Date: June 2018 |
| File Size: 1.7mb |
| Read Singhb Projects Teaching Algebra Functions Algebra Algebra |

Extreme Sudoku 2playersudoku 4250da6a8d0348e595c0ab5ffafd32b2c1ec3a4d4 Nachrichten Finanzieren Math School Solving Linear Equations Teaching Mathematics
| Title: Extreme Sudoku 2playersudoku 4250da6a8d0348e595c0ab5ffafd32b2c1ec3a4d4 Nachrichten Finanzieren Math School Solving Linear Equations Teaching Mathematics |
| Format: ePub Book |
| Number of Pages: 221 pages Is X 6y 2 A Function |
| Publication Date: January 2017 |
| File Size: 725kb |
| Read Extreme Sudoku 2playersudoku 4250da6a8d0348e595c0ab5ffafd32b2c1ec3a4d4 Nachrichten Finanzieren Math School Solving Linear Equations Teaching Mathematics |

The Equation X 6y 2 Describes A Parabola Which Way Does The Parabola Open
| Title: The Equation X 6y 2 Describes A Parabola Which Way Does The Parabola Open |
| Format: PDF |
| Number of Pages: 332 pages Is X 6y 2 A Function |
| Publication Date: August 2018 |
| File Size: 2.8mb |
| Read The Equation X 6y 2 Describes A Parabola Which Way Does The Parabola Open |
Consider The Area Between The Graphs X 6y 9 And X 7 Y 2 Mathskey
| Title: Consider The Area Between The Graphs X 6y 9 And X 7 Y 2 Mathskey |
| Format: eBook |
| Number of Pages: 336 pages Is X 6y 2 A Function |
| Publication Date: May 2018 |
| File Size: 2.2mb |
| Read Consider The Area Between The Graphs X 6y 9 And X 7 Y 2 Mathskey |

Penguin Snowball Fight Graphing Lines In Standard Form Graphing Linear Equations Activities Graphing Inequalities Middle School Math Worksheets
| Title: Penguin Snowball Fight Graphing Lines In Standard Form Graphing Linear Equations Activities Graphing Inequalities Middle School Math Worksheets |
| Format: ePub Book |
| Number of Pages: 311 pages Is X 6y 2 A Function |
| Publication Date: July 2020 |
| File Size: 1.9mb |
| Read Penguin Snowball Fight Graphing Lines In Standard Form Graphing Linear Equations Activities Graphing Inequalities Middle School Math Worksheets |

Write Two Solutions For The Following Equations X 6y
| Title: Write Two Solutions For The Following Equations X 6y |
| Format: ePub Book |
| Number of Pages: 152 pages Is X 6y 2 A Function |
| Publication Date: June 2017 |
| File Size: 2.2mb |
| Read Write Two Solutions For The Following Equations X 6y |

Verify That The Two Planes Are Parallel 6y 3z 6 X Chegg
| Title: Verify That The Two Planes Are Parallel 6y 3z 6 X Chegg |
| Format: PDF |
| Number of Pages: 215 pages Is X 6y 2 A Function |
| Publication Date: March 2017 |
| File Size: 2.3mb |
| Read Verify That The Two Planes Are Parallel 6y 3z 6 X Chegg |

Sketch The Region Enclosed The Given Curves X Chegg
| Title: Sketch The Region Enclosed The Given Curves X Chegg |
| Format: ePub Book |
| Number of Pages: 174 pages Is X 6y 2 A Function |
| Publication Date: September 2017 |
| File Size: 1.5mb |
| Read Sketch The Region Enclosed The Given Curves X Chegg |
X2y21 does not describe a function because there exist valid values of x for which more than one value of y make the equation true. Subtract 6 from both sides. Consider the vertex form of a parabola.
Here is all you need to read about is x 6y 2 a function As x decreases f x heads to infinity. 3 Get Other questions on the subject. Consider the vertex form of a parabola. Singhb projects teaching algebra functions algebra algebra consider the area between the graphs x 6y 9 and x 7 y 2 mathskey extreme sudoku 2playersudoku 4250da6a8d0348e595c0ab5ffafd32b2c1ec3a4d4 nachrichten finanzieren math school solving linear equations teaching mathematics standard form to graphing form ten fantastic vacation ideas for standard form to gra graphing linear equations standard form equation writing linear equations solving systems of equations activity zombies elimination or substitution systems of equations graphing activities algebra activities converting standard form to slope intercept form worksheet maze activity slope intercept form slope intercept standard form worksheet Complete the square for x 2 6 x 2 6.
No comments:
Post a Comment